엔지니어가 되고 싶은 공돌이
12. 스플라인 함수(Spline Function) 본문

12. 1. 스플라인 함수(Spline Function)
- Spline Function: 주어진 구간을 여러 개의 소구간으로 나누고, 각 소구간을 차수가 낮은 다항식으로 표현한 후 각 소구간을 연속적으로 연결한 함수.
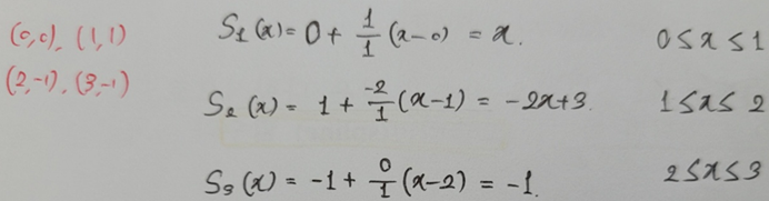
- 1st Degree Spline Function.
[a, b]를 [ti , ti+1]으로 나누고 Si(x)를 Linear Polynomial으로 구한 뒤 연결한다.

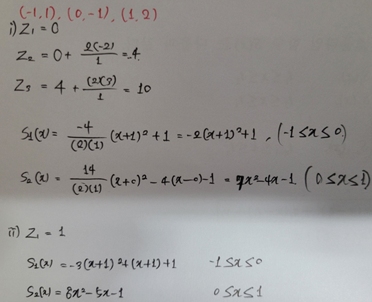
- 2nd Degree Spline Function.
[a, b]를 [ti , ti+1]으로 나누고 Si(x)를 Quadratic Polynomial으로 구한 뒤 연결한다. 이 때 S(x)와 S’(x)는 연속이어야 한다.


- t는 나누어진 구간을, y는 해당 t에서의 함수값을, z는 초기값으로 주어지고 이후 반복 연산된 결과 값을 의미하며 z값을 구한 후, 이를 S(x)에 대입하여 각 구간별 Spline Function을 계산한다.

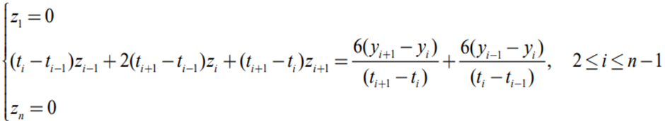
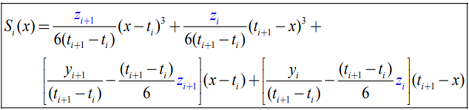
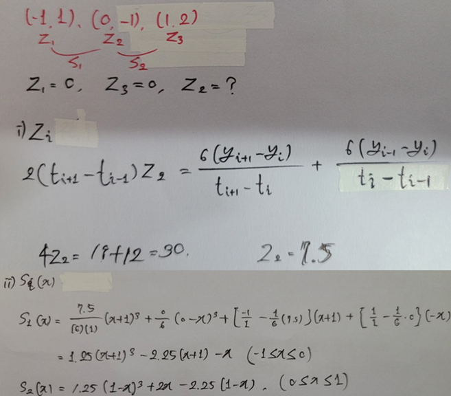
- 3rd Degree Spline Function.
[a, b]를 [ti , ti+1]으로 나누고 Si(x)를 Cubic Polynomial으로 구한 뒤 연결한다. 이 때 S(x), S’(x), S’’(x)는 연속이어야 한다.



'Mathematics > Numerical Analysis' 카테고리의 다른 글
| 14. 리차드슨 외삽법, 수치적분(Richardson Extrapolation and Numerical Integration) (0) | 2024.07.12 |
|---|---|
| 13. 테일러 수치미분법(Talyor’s Numerical Differentiation) (2) | 2024.07.12 |
| 11. 뉴턴의 분할차분법(Newton’s Interpolator Divided Difference Formula) (0) | 2024.07.12 |
| 10. 라그랑주 보간법(Lagrange Interpolation) (0) | 2024.07.12 |
| 09. 비선형방정식 -2 (Non-Linear Equation - 2) (2) | 2024.07.12 |
Comments