엔지니어가 되고 싶은 공돌이
08. 부정적분과 정적분(Indefinite Integral and Definite Integral) 본문
08. 부정적분과 정적분(Indefinite Integral and Definite Integral)
Geca 2024. 3. 27. 13:46
8. 1. 부정적분(Indefinite Integral)
- 적분은 미분의 역연산이다.
- F(x)의 도함수가 f(x) 일 때, F(x)를 f(x)의 부정적분(Indefinite Integral)이라 부른다.
- 적분의 기호로 ∫ (integral) 을 사용한다.
- ∫ f(x)dx = F(x) + C.
여기서 dx는 x를 기준으로 적분한다는 걸 의미하고, x를 적분변수(Integral Variable), C는 적분상수(Integral Constant)라 부른다.
- 부정적분과 미분의 관계(Relationship between Indefinite integral and Differential).
1) ∫ {d/dx f(x)} dx = f(x) + C. → 미분하고 적분하면 기존의 식 + C.
2) d/dx {∫ f(x)dx} = f(x). → 적분하고 미분하면 기존의 식.
8. 2. 부정적분의 계산(Calculation of Indefinite Integrals)
- xn 의 부정적분.
∫ xn dx = 1/(n + 1) X xn + 1 + C.
∫(ax + b)n dx = 1/a X 1/(n + 1) X (ax + b)n + 1 + C.
- 부정적분의 공식(Formula of0 Indefinite Integral).
1) ∫ kf(x) dx = k ∫ f(x) dx. [k is real number]
2) ∫ (f(x) ± g(x)) dx = ∫ f(x) dx ± ∫ g(x) dx.
- 적분은 미분의 역연산이므로 적분을 하고나서 검증할 때는 적분한 식을 다시 미분해서 기존의 식과 같은지 비교하면 된다.
- 구분구적법: 복잡한 도형의 넓이나 부피를 구할 때, 주어진 도형을 작은 기본 도형으로 세분화 하고, 세분화 된 기본도형의 넓이나 부피의 합으로 근삿값을 구한 후 이 근삿값을 극한값으로 보내서 도형의 넓이나 부피를 구하는 방법.
1) 구간을 기본도형으로 n등분한다.
2) n개의 기본도형의 넓이의 합이나 부피의 합을 구한다.
3) 넓이의 합이나 부피의 합의 극한값을 구한다.
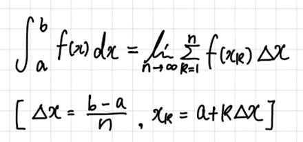
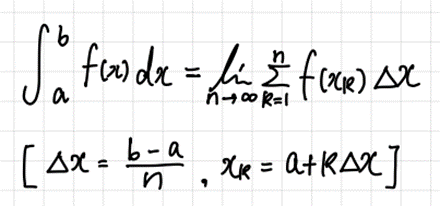
8. 3. 정적분(Definite Integral)
- 부정적분은 함수(Function)를, 정적분은 실수(Real Number)(도형의 넓이와 부피 등)를 의미한다.
- 함수 f(x)가 구간 [a, b]에서 연속일 때,


- 정적분의 성질(Properties of Definite Integral).

8. 4. 적분과 미분의 관계(Relationship between Integral and Differential)
- 함수 f(x)가 닫힌 구간 [a, b]에서 연속이고 a ≤ x ≤ b 일 때,

8. 5. 정적분의 계산(Calculation of Definite Integrals)
- 정적분의 공식(Definite Integral Formula).
1) ∫ab kf(x) dx = k∫ab f(x) dx. [k is real number]
2) ∫ab ( f(x) ± g(x) )dx = ∫ab f(x) dx ± ∫ab g(x) dx.
3) ∫ab f(x) dx = ∫ac f(x) dx + ∫cb f(x) dx.
4) ∫ab A(x - a)(x - b) dx = -A/6 X (b - a)3.
- 절댓값 기호가 있는 정적분은 적분구간을 나누어서 계산한다.
나눌 때 절댓값 기호 안의 식을 0 으로 하는 x값을 기준으로 한다.
- 우함수(Even Function): f(-x) = f(x) , y축에 대하여 대칭인 함수.
- 기함수(Odd Function): f(-x) = -f(x) , 원점에 대하여 대칭인 함수.
- f(x) 가 f(-x) = f(x)를 만족할 때,
∫-aa f(x) dx = 2 ∫0a f(x) dx. -> f(x)는 짝수차항.
- f(x) 가 f(-x) = -f(x)를 만족할 때,
∫-aa f(x) dx = 0. -> f(x)는 홀수차항.
'Basic Mathematics > High School_Calculus 1' 카테고리의 다른 글
| 07. 도함수의 활용 - 2(Use of Derived Function - 2) (1) | 2024.03.26 |
|---|---|
| 06. 도함수의 활용 - 1(Use of Derived Function - 1) (1) | 2024.03.26 |
| 05. 미분계수와 도함수(Differential Coefficient and Derived Function) (0) | 2024.03.25 |
| 04. 함수의 연속(Continuation of Functions) (0) | 2024.03.24 |
| 03. 함수의 극한(Limit of a Function) (1) | 2024.03.23 |